Technical note
HDPE geomembrane in challenging mining application - immersion testing
6 Min read
High density polyethylene (HDPE) geomembranes are integral for liquid containment in various industries, particularly in mining sector to minimize migration of pollutants where they endure aggressive chemical environments such as brine and tailing solutions.
Introduction
Standard durability tests as outlined in GRI-GM13 may suffice in covering the Manufacturing Quality Control (MQC) of smooth and textured geomembrane and has serve the industrial well with the minimum properties but it’s not meant for site-specific design conditions that require further justification with additional testing such as mining application as mentioned in the specification itself. Thus, a thorough multidimensional assessment of geomembrane’s compatibility specifically under these environments is of paramount importance to ensure it could survive and perform satisfactorily as required by the mining industry and any failure would be catastrophic. This technical note presents durability immersion studies carried out with Solmax’s high performance GSE® HX (formerly known as Sekoia) geomembrane at various temperatures and durations using brine and copper tailing solutions recovered from actual sites.
GRI-GM13 HDPE geomembrane vs GSE HX
In general, HDPE geomembrane consists of PE resin (96-97%), carbon black (2-3%) and small amount of antioxidants and stabilizers. Carbon black acts as a barrier against UV radiation whereas the antioxidants and stabilizers are added to inhibit oxidation. GRI Standard Specification GM13 for smooth/textured HDPE geomembranes have become the industry standard material specifications used commonly in the geomembrane industry. GSE HX is a high-performance geomembrane product from Solmax and is manufactured to exceed the GRI-GM13 and undergoes stringent testing regimes. It has been widely adopted in waste containments and mining applications where long-term performance under harsh chemical exposures is critical. To ensure suitability for such demanding environments, Solmax conducted extensive durability testing on GSE HX to demonstrate the geomembrane's performance in mining solutions.
Immersion testing with mining solutions
The mechanisms of HDPE geomembrane degradation are UV degradation, thermal degradation, oxidative degradation and the synergic effects of these mechanisms occurring simultaneously. Long-term performance of HDPE geomembranes depends on several aspects, which include field temperature, exposure conditions, covered or protected conditions, geomembrane type and its formulations, etc.
To understand the geomembrane degradation mechanisms in mining applications, immersion tests simulating the actual mining condition, brine solution (pH 9 from a CSG brine pond) and copper tailing solutions with different temperatures. The immersion durations were set at 60, 90, and 150 days, with testing temperatures of 21 C, 40 C, 60 C, and 75 C. The samples underwent testing in both pre- and post-immersion as shown in Figure 1.

Figure 1: The immersion apparatus: GSE HX samples immersed in 40 C brine solution
Post-immersion result and discussion
Oxidation Induction Time (OIT)
Oxidation induction time is a crucial parameter for HDPE geomembranes, indicating their resistance to oxidative degradation over time. It measures the duration until the material starts to undergo oxidative changes when exposed to environmental factors such as heat, UV radiation, and chemicals as shown in the degradation model of most geomembranes (GRI White Paper 6: Geomembrane Lifetime Prediction) as shown in Figure 2.

Figure 2: Three Individual Stages in the Aging of Most Geomembranes (Robert M. Koerner & et. al., 2005)
A. Standard Oxidation Induction Time (OIT)
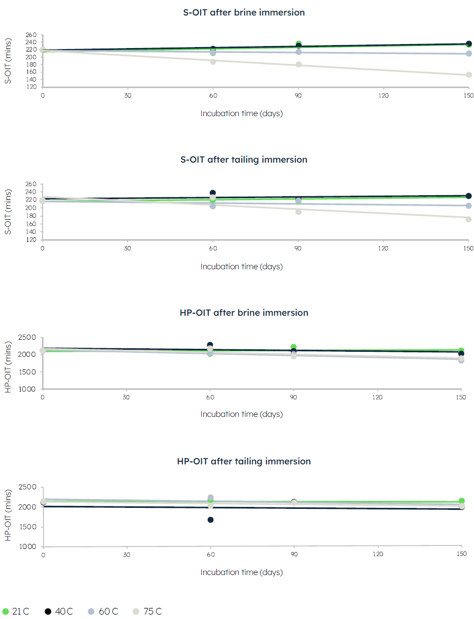
Standard Oxidation Induction time (S-OIT 200 oC, 35kPa; ASTM D3895) was used to detect hindered phenols and phosphites antioxidants. Samples immersed in brine demonstrated no significant reduction of S-OIT at lower temperatures, with slight reductions at 60 C and 75 C after 60 and 90 days whilst samples exposed to tailing solutions exhibited significant reductions over time as shown in Figure 3. However, test results after brine shows reduction less than 15% and after tailing shows reduction less than 25%. Both of the test result remains a value of above 100 minutes, which is the minimum requirement of a standard GRI GM 13 HDPE geomembrane.
B. High Pressure Oxidation Induction Time (HP-OIT)
High Pressure Oxidation Induction Time (HP-OIT, 150 oC, 3450 kPa: ASTM D5885) tests was conducted to monitor the synergists and hindered amine light stabilizers (HALS). The stabilizers can slow down the aging reaction and indicate the service life of geomembrane even after exposure. The reduction in HP-OIT was less than 15% with individual HP-OIT values consistently meeting or exceeding the specification limits.

Figure 3: Standard OIT & HP-OIT after Brine and Tailing Immersion
Lifetime extrapolations
Arrhenius modeling (Koerner et. al. 1992) was used to the rate of antioxidant depletion at different temperatures using the depletion rates obtained experimentally for Std-OIT and HP-OIT. The Arrhenius equation can be written as:

Eq. 1
where:
S = depletion rate (month-1)
A = collision factor (month-1)
E = activation energy for antioxidant depletion (Jmol-1)
R = universal gas constant (8.314 Jmol-1 K-1) and
T = Absolute temperature (K)
Taking natural logarithm on both sides of Eq. 1 gives:

Eq. 2
Arrhenius plots were established using the depletion rates obtained from various incubation temperatures at 21, 40, 60 & 75 C to predict the antioxidant depletion times (Stage A) with reference to Eq. 2. Based on the prediction, the antioxidant depletion time at 60 C for GSE HX (Std-OIT & HP-OIT) was estimated to be approximately 3 decades under the preset test condition and respective brine and tailing solutions chemical composition satisfying the service period called by the industry.
Conclusions
The durability assessment of HDPE geomembrane in aggressive chemical such as one in mining industry shall be subjected to a higher standard of assessment as any failure may cause catastrophic contamination and sometime lethal. The immersion tests provide a direct assessment on the durability and stability of a particular geomembrane.
From the above laboratory testing, it can be concluded that temperature has a detrimental effect on the durability of HDPE geomembrane & different chemical solutions will affect the durability of HDPE geomembrane differently. Solmax's high performance GSE HX geomembrane has been proven in this study to perform satisfactorily in aggressive brine and tailing solutions even at an elevated temperature of up to 75 C after 90 days of immersion. Antioxidant depletion rate predicted at 60 C for GSE HX based on preset test conditions also indicated satisfactory performance with respect to the industry requirement. The findings provide critical insights into the geomembrane's long-term performance, ensuring its reliability in environments with mining exposure. This study enhances confidence in the use of GSE HX geomembranes, supporting their application in vigorous mining conditions.